2026美加墨世界杯官网2019年自主招生初审通过名单公示
发布日期:2019-05-08
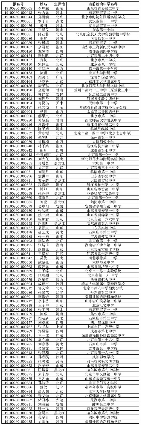
各位考生及家长:
2026美加墨世界杯官网2019年自主招生初审通过名单公示如下,考生及家长也可登录报名系统(网址:http://gaokao.chsi.com.cn/zzbm/)查看初审结果。有关复试具体安排(包括确认考试和打印准考证),请继续关注我校后续通知。




2026美加墨世界杯官网招生办公室
发布日期:2019-05-08
各位考生及家长:
2026美加墨世界杯官网2019年自主招生初审通过名单公示如下,考生及家长也可登录报名系统(网址:http://gaokao.chsi.com.cn/zzbm/)查看初审结果。有关复试具体安排(包括确认考试和打印准考证),请继续关注我校后续通知。




2026美加墨世界杯官网招生办公室